

The OPA818 w/Breakout is a high-performance operational amplifier (op-amp) from Texas Instruments (TI), designed for a wide range of analog signal processing tasks. This op-amp is known for its high bandwidth, low noise, and fast slew rate, making it ideal for applications such as high-speed data acquisition, active filters, and photodiode amplification. The breakout board simplifies the integration of the OPA818 into various circuits by providing easy access to the op-amp's pins through standard headers.








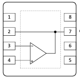
| Pin Number | Pin Name | Description |
|---|---|---|
| 1 | VOUT | Output voltage pin |
| 2 | V- | Negative power supply input |
| 3 | VIN- | Inverting input |
| 4 | VIN+ | Non-inverting input |
| 5 | V+ | Positive power supply input |
| 6 | NC | No connection (reserved for future use) |
| 7 | NC | No connection (reserved for future use) |
| 8 | NC | No connection (reserved for future use) |
Power Supply Connections:
Input Signal:
Output:
Feedback Network:
Bypass Capacitors:
Q: Can the OPA818 w/Breakout be used in single-supply configurations? A: Yes, but ensure that the input and output voltage ranges are within the limits of the single supply voltage.
Q: What is the maximum gain I can achieve with this op-amp? A: The maximum gain is limited by the bandwidth of the op-amp. Higher gains will reduce the bandwidth proportionally.
Q: How can I improve the stability of the op-amp in my circuit? A: Use proper decoupling techniques, ensure that the feedback network is designed for the intended application, and follow good PCB layout practices.
// Example code for interfacing OPA818 w/Breakout with Arduino UNO
// This code assumes the op-amp is configured for a non-inverting amplifier
const int analogInputPin = A0; // Connect the output of the op-amp to A0
const int analogOutputPin = 9; // PWM output pin
void setup() {
Serial.begin(9600);
}
void loop() {
int sensorValue = analogRead(analogInputPin); // Read the amplified signal
float voltage = sensorValue * (5.0 / 1023.0); // Convert to voltage
Serial.println(voltage); // Print the voltage to the Serial Monitor
delay(100); // Wait for 100 milliseconds
}
Note: The above code is a simple example to read the amplified signal from the OPA818 w/Breakout and print the voltage to the Serial Monitor. The actual implementation will depend on the specific application and circuit configuration.